Diferencias en las transiciones de campo y el tiempo de juego continuo en baloncesto
*Correspondencia: Franc García francgarciagarrido@gmail.com
Citación
García, F., Fernández, D., Pintado, C., Miró, A. y Lara-Bercial, S. (2025). Differences in court shifts and continuous playing time in basketball. Apunts Educación Física y Deportes, 161, 41-49. https://doi.org/10.5672/apunts.2014-0983.es.(2025/3).161.05
Resumen
El objetivo de este estudio era examinar las diferencias en el número de transiciones de campo y el tiempo de juego continuo entre grupos de edad y cuartos de partido durante la competición para optimizar la preparación de los equipos. Se recopilaron datos de 28 partidos oficiales disputados en cuatro categorías de edad: sub-14 (U14), sub-16 (U16), sub-18 (U18) y absoluta. Participó en este estudio un total de 61 jugadores de baloncesto. Se utilizaron pruebas ANOVA 2×2 por permutación y pruebas post hoc para comprobar la significación estadística (p < .05). Los grupos de edad mostraron diferencias significativas entre las transiciones de campo, el tiempo y la relación entre ambas variables (transiciones por minuto), con una tendencia a la baja en todas las variables desde la categoría U14 hasta la absoluta. Sin embargo, no hubo diferencias significativas en las variables estudiadas entre los cuartos de partido ni relaciones positivas con el diferencial de puntos. En conclusión, las transiciones por minuto disminuyen a medida que avanzamos en los grupos de edad, desde el baloncesto U14 hasta el sénior. Estos resultados podrían ayudar a los profesionales a mejorar la preparación de los equipos proponiendo secuencias específicas de entrenamiento 5 contra 5 basadas en los casos más frecuentes, así como en situaciones límite. Sin embargo, la falta de correlación entre las variables estudiadas y el resultado de los partidos debería animar a los profesionales del baloncesto a adoptar un enfoque holístico y explorar otros factores para comprender mejor el rendimiento.
Introducción
El baloncesto es uno de los deportes de equipo más practicados del mundo. En Europa y Estados Unidos, los equipos de alto nivel pueden jugar hasta 100 partidos oficiales en una temporada de entre ocho y diez meses (de Saá Guerra et al., 2016; Hulteen et al., 2017). Del mismo modo, los equipos de cantera (categorías juveniles de los equipos profesionales de baloncesto) también suelen participar en ligas regulares y torneos sobrecargados en los que se les exige jugar numerosos partidos de 5 contra 5 durante un periodo muy corto (García et al., 2023a; Miró et al., 2024). En estos partidos, los jugadores participan en numerosas y continuas transiciones de campo (cambio de posesión tras el cual el equipo que recupera el control del balón cruza la línea de medio campo) para lograr su objetivo final de anotar puntos y no concederlos (Fox et al., 2020a). Por ello, es fundamental llevar a cabo un análisis detallado del número de transiciones de campo sucesivas y continuas que los jugadores de baloncesto deben ser capaces de soportar durante los partidos, para mejorar los ejercicios de entrenamiento y los planes destinados a optimizar el rendimiento del equipo durante la competición (Piedra et al., 2021; Sampaio y Janeira, 2003).
En la actualidad, la mayoría de los análisis durante partidos de baloncesto se centra en la supervisión interna y externa de la carga de trabajo identificada mediante tecnologías tales como monitores de frecuencia cardiaca (por ejemplo, los parámetros de la frecuencia cardiaca), dispositivos inerciales (por ejemplo, carga y aceleraciones del jugador) y sistemas de posicionamiento local (por ejemplo, variables relacionadas con la distancia) (Piedra et al., 2021; Zamora et al., 2021). Para ilustrar esta cuestión, es bien sabido que, durante los partidos, los jugadores de baloncesto pueden recorrer entre 130 y 150 m/min de distancia total y entre 4 y 6 m/minde carrera a alta velocidad a intensidades fisiológicas medias superiores al 80% de la frecuencia cardiaca máxima (García et al., 2022). Más recientemente, también se ha utilizado la carga externa para detectar posibles diferencias entre cuartos de partido (García et al., 2020; Miró et al., 2024; Vázquez-Guerrero et al., 2020a) y grupos de edad (García et al., 2021) durante competiciones de baloncesto. Los estudios actuales han mostrado numerosas diferencias entre cuartos tras examinar los promedios y las secuencias más exigentes entre jugadores de cantera (Vázquez-Guerrero et al., 2019; Vázquez-Guerrero et al., 2020a), semiprofesionales (Fox et al., 2020b) y profesionales (García et al., 2020). Del mismo modo, se han analizado grupos de edad como los sub-12, sub-14, sub-16 y sub-18 utilizando la carga externa (García et al., 2021). Mientras que la distancia recorrida a alta velocidad aumentaba con la edad, los menores de 12 años mostraron el resultado más alto en la distancia total relativa recorrida y los valores más bajos en las secuencias de 60 segundos más exigentes durante los partidos, en comparación con sus homólogos de más edad (García et al., 2021; Pérez-Chao et al., 2023). No obstante, cabe mencionar que, en el ámbito del baloncesto, los grupos de edad solo se han examinado y comparado utilizando la carga externa.
Además de las variables de carga interna y externa, algunos estudios recientes sobre deportes de equipo han propuesto la inclusión de más variables cualitativas para complementar la perspectiva lineal y cuantitativa basada en parámetros físicos y fisiológicos (García et al., 2023b; Ortega Toro et al., 2006). En concreto, García et al. (2023b) emplearon acciones tácticas ofensivas (por ejemplo, diferentes tipos de pantallas, pases y cortes) para investigar los factores que influyen en la eficacia en el baloncesto. Del mismo modo, las publicaciones recientes (Bazanov et al., 2005, 2006; Ortega Toro et al., 2006) también han examinado el rendimiento en el baloncesto desde una perspectiva más ecológica y han incluido el concepto de ritmo de juego, entendido como la suma de acciones técnicas y tácticas dividida por el tiempo.
Del mismo modo, algunos estudios anteriores sobre baloncesto también han estudiado el número y la duración de las posesiones de balón (definidas como el periodo de tiempo en el que un equipo tiene el control claro del balón) para comparar diferentes secuencias de juego (Salazar y Castellano Paulis, 2020; Sampaio y Janeira, 2003). Además de ser útiles para comparar sexos y niveles de juego (Romarís et al., 2016), las posesiones de balón, calculadas con ecuaciones indirectas que utilizan estadísticas comunes relacionadas con el juego, como los tiros de campo, los rebotes, las pérdidas de balón y los tiros libres (Oliver, D., 2004; Kubatko et al., 2007), también se han utilizado para comprender los factores cruciales de los equipos de éxito. La conclusión de dichos estudios fue que jugando ataques de ritmo más rápido (más cortos y con un mayor número de posesiones de balón) suelen conseguirse más puntos por partido en el baloncesto (Bazanov et al., 2005; Sampaio et al., 2010). A pesar de que en las publicaciones recientes se han utilizado las posesiones de balón y las acciones técnicas y tácticas del baloncesto para investigar las posibles diferencias entre los equipos ganadores y los perdedores (Bazanov et al., 2005, 2006; Ortega Toro et al., 2006), hasta la fecha ningún estudio se ha centrado en el número total de transiciones de campo en el baloncesto y su distribución en los periodos de tiempo de juego continuo (entendidos como periodos de juego ininterrumpido) en diferentes grupos de edad durante los partidos de baloncesto.
Por lo tanto, el objetivo principal de este estudio era examinar las diferencias en el número de transiciones de campo acumuladas durante el tiempo de juego continuo en baloncesto entre grupos de edad y cuartos de partido para optimizar los ejercicios de entrenamiento específicos y la preparación del partido. Un objetivo secundario era detectar posibles relaciones entre las transiciones de campo, el tiempo de juego continuo y las transiciones de campo por minuto con el marcador final de los partidos examinados. Nuestra hipótesis principal era que habría diferencias significativas entre los grupos de edad y una relación nula entre las variables estudiadas y el resultado del partido.
Materiales y métodos
Participantes
Los participantes en este estudio eran jugadores de baloncesto de sexo masculino (media ± DT, edad: 14.5 ± 1.7 años; estatura: 186.3 ± 13.0 cm; masa corporal: 72.0 ± 13.9 kg; y envergadura: 188.4 ± 13.0), dentro de la cantera de élite de un equipo de la Euroliga. Los jugadores compitieron en cuatro grupos de edad: sub-14 (U14), sub-16 (U16), sub-18 (U18) y un equipo sénior (Tabla 1). Los equipos U14 y U16 compitieron al máximo nivel regional posible, mientras que el U18 jugó en ambas competiciones: su liga regional y la cuarta división española (EBA), de carácter semiprofesional. Todos los partidos se disputaron con el reglamento de la FIBA. Asimismo, todos los equipos siguieron la metodología específica de formación estructurada (Tarragó et al., 2019), consistente en formación coadyuvante y optimizadora (Gómez et al., 2019; Pons et al., 2020).

El presente estudio se llevó a cabo de acuerdo con las disposiciones de la Declaración de Helsinki (Harriss y Atkinson, 2015), y no fue necesaria la aprobación de un comité ético, ya que los datos se obtuvieron de forma ordinaria durante partidos de liga (Winter y Maughan, 2009). A pesar de esto, los jugadores y sus padres dieron su consentimiento por escrito después de que se les explicara la finalidad del estudio y el protocolo de investigación junto con los requisitos.
Metodología
Se empleó un diseño descriptivo y observacional para examinar las diferencias entre las transiciones de campo, el tiempo de juego continuo y las transiciones de campo por minuto, entre grupos de edad y cuartos de partido. Se recogieron datos de 28 partidos de liga en casa (7 partidos U14; 4 partidos U16; 8 partidos U18; 8 partidos sénior de EBA) durante la temporada 2022-2023 del baloncesto de competición español (de septiembre a junio). La muestra final contuvo un total de 2087 observaciones. Además, cabe destacar que los datos se registraron en condiciones diferentes para cada grupo, tales como el contexto competitivo, los requisitos tácticos y la variación de los roles individuales. Si bien algunos jugadores podían estar presentes en más de un equipo, el intervalo de tiempo entre mediciones podría limitar la influencia de la misma unidad experimental en todos los grupos de edad.
La medición de las transiciones de campo (Figura 1) se inspiró en nuestra experiencia de entrenadores de baloncesto que planificaban sus entrenamientos en series de 5 contra 5 jugando a media cancha más una o dos transiciones, que en este estudio se han denominado transiciones 1.5 o 2.5, respectivamente.Las transiciones de campo y el tiempo de juego continuo se recogieron manualmente durante los partidos. Asimismo, la relación entre transiciones de campo y tiempo de juego continuo en el baloncesto se calculó y normalizó a un minuto, en forma de transiciones por minuto. Se utilizó un cronómetro para calcular el tiempo de juego continuo en directo. Por último, todos los análisis de los partidos fueron realizados por el mismo profesional, que es un investigador experimentado y posee la titulación de entrenador de baloncesto más alta del sistema español (entrenador nacional, nivel 3).

Análisis estadístico
Todos los análisis estadísticos se realizaron con RStudio versión 2022.07.2 (RStudio, Inc.). Los resultados descriptivos se presentaron como media ± desviación típica. Para obtener más información, y debido a la asimetría, también utilizamos los valores de moda y máximo. Ninguna variable superó las pruebas de homogeneidad de la varianza (prueba de Levene) ni las de normalidad (prueba de Shapiro-Wilk). A causa de este tipo de distribución de los datos, se realizó un ANOVA de permutación 2×2 con un máximo de 5000 iteraciones (Venables, W.N., y Ripley, B.D., 1997), para identificar diferencias significativas en todas las variables estudiadas. Las dos variables independientes utilizadas en el modelo 2×2 fueron el grupo de edad al que pertenecían los jugadores y el cuarto de partido. Todos los valores de p registrados eran las probabilidades de que se observaran los tamaños del efecto absolutos si se cumplía la hipótesis nula de diferencia cero (Plonsky, 2015). Asimismo, añadimos el valor eta al cuadrado (η2) para describir el tamaño del efecto; donde, según Cohen (Cohen, 1988), la magnitud se consideró despreciable (η2 < .01), pequeña (.01 < η2 < .06), mediana (.06 < η2 < .14) o grande (η2 > .14). Se hicieron pruebas HSD de Tukey post hoc después del ANOVA entre cada comparación por pares. También se llevó a cabo un análisis en forma de correlación con remuestreo bootstrap y con 2000 repeticiones (Wilcox, 2010) entre la media de la variable del partido estudiado y la diferencia de puntos al final del encuentro, según el grupo de edad; y se empleó el método corregido por sesgo y acelerado (BCa, por sus siglas en inglés) para calcular los intervalos de confianza del 95% del análisis de correlación.
La magnitud de los coeficientes de correlación, según Hopkins (Hopkins, 2006), se consideró insignificante (r <.1), pequeña (.1 < r <.3), moderada (.3 < r < .5), grande (.5 < r < .7), muy grande (.7 < r < .9), casi perfecta (r > .9) o perfecta (r = 1).
Resultados
En las Tablas 2 y 3 se presentan los resultados descriptivos agrupados por grupos de edad y por cuartos. Además, los resultados descriptivos de todas las variables y los resultados del ANOVA de permutación 2×2 se presentan en la Tabla 4, y la representación visual de los resultados y el análisis post hoc en la Figura 2.




Solo se encontraron diferencias significativas entre los grupos de edad en las tres variables estudiadas (Tiempo de juego: F Iteraciones = 5000, p < .001, η2 = .02; Número de transiciones de campo: F Iteraciones = 5000, p < .001, η2 = .02; Transiciones por minuto: F Iteraciones = 5000, p < .001, η2 < .001). En las tres variables, el tamaño del efecto de la diferencia fue pequeño e incluso insignificante en la variable Transiciones por minuto. Por último, en la Tabla 5 se presentan los valores medios y máximos.

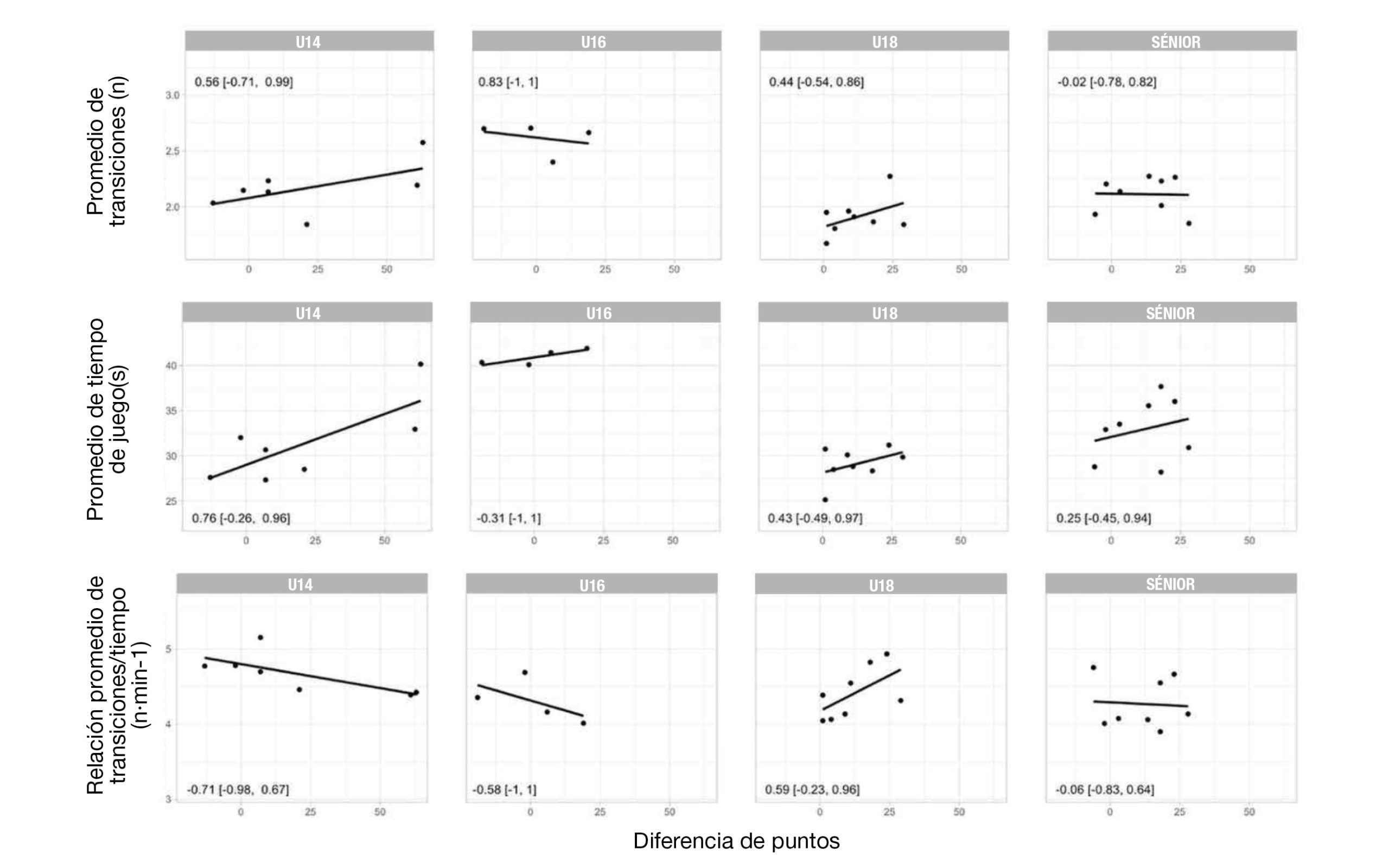
Los resultados de las correlaciones agrupadas por grupos de edad se presentan en la Figura 3. Si bien se hallaron algunas correlaciones moderadas entre las variables y el resultado del partido, ninguna de ellas fue significativa.

Discusión
El presente estudio descriptivo tenía por meta comparar el número de transiciones de campo durante el tiempo de juego continuo entre grupos de edad y cuartos de partido, así como examinar su relación con el marcador final. El principal hallazgo es que el número de transiciones de campo, el tiempo de juego y las transiciones por minuto mostraron diferencias significativas entre los grupos de edad. Sin embargo, no hubo diferencias significativas en las variables estudiadas entre los cuartos de juego. Además, ninguna de las variables estudiadas presentó una relación significativa con el marcador final, examinada como la diferencia de puntos entre el equipo estudiado y el rival. A pesar de la falta de correlación significativa entre un valor concreto de la variable Transiciones por minuto y el éxito durante las competiciones de baloncesto, estos resultados podrían ayudar a optimizar la prescripción de situaciones específicas de entrenamiento 5 contra 5 adaptadas a cada nivel de edad específico.
En cuanto a las diferencias entre grupos de edad en el número de transiciones de campo, el tiempo de juego continuo y las transiciones por minuto, nuestros resultados coinciden con estudios anteriores (García et al., 2021), que muestran una tendencia a la baja entre la edad y las variables de carga externa. Mientras que García et al. (2021) descubrieron que la distancia total recorrida era significativamente mayor en el equipo U12 (87.1m/min) en comparación con sus homólogos de mayor edad (U14 a sénior: 73.9-82.5 m/min) y que los jugadores sénior presentaron resultados significativamente más bajos que en los otros cuatro equipos juveniles evaluados en la misma variable, el estudio actual también mostró que las transiciones por minuto disminuyeron de la U14 a la U16, aumentaron ligeramente de la U16 a la U18 y volvieron a disminuir de la U18 a la sénior. Cabe destacar que la competición U18 y sénior fue disputada por el mismo grupo de jugadores U18, lo que demuestra la importancia del contexto para explicar el ritmo de juego en el baloncesto. En concreto, el número de transiciones de campo, el tiempo de juego y las transiciones por minuto presentaron diferencias significativas (p < .001) y tamaños del efecto pequeños (TE = 0.2) entre los grupos de edad. Además, el valor máximo de las variables Transiciones de campo (n = 15) y Transiciones por minuto (n = 22) también se encontró en el nivel de edad U14 (Tabla 5). Una posible explicación podría ser que los jugadores de baloncesto más experimentados poseen mejores habilidades de interpretación del juego y de toma de decisiones, lo que conduce a una mejor gestión del juego y a una disminución de los valores de exigencia física (Ferioli et al., 2020).
Aunque los resultados en las transiciones de campo, el tiempo y las transiciones por minuto fueron significativamente diferentes entre los jugadores de baloncesto de los niveles U14, U16, U18 y sénior, el presente estudio no detectó variaciones significativas entre cuartos de partido. Del mismo modo, las publicaciones recientes (Scanlan et al., 2012, 2015) no pudieron registrar diferencias por cuartos tras el análisis de los parámetros de distancia y velocidad en jugadores sénior. A pesar de la falta de significación, este estudio sugiere una disminución del número de transiciones de campo y del tiempo de juego continuo en todos los grupos de edad a medida que avanza el partido, con los valores más bajos en la segunda parte del partido (Tabla 3). En este sentido, el valor de moda (el que se produce con mayor frecuencia) de las transiciones de campo y del tiempo de juego continuo se encontró en el último cuarto del partido en todos los grupos de edad (Tabla 5). Por el contrario, nuestros datos muestran una tendencia al alza en la variable Transiciones por minuto durante el partido. Dicho aumento podría atribuirse al mayor número de interrupciones del juego producidas durante el último cuarto, lo cual podría conceder a los jugadores más tiempo de recuperación y, por tanto, la capacidad de jugar a un ritmo más alto (Salazar y Castellano Paulis, 2020).
De forma similar a lo sucedido con las diferencias entre cuartos, el diferencial de puntos entre el equipo examinado y su rival no guardó una relación significativa con las tres variables estudiadas. No obstante, el presente estudio encontró interesantes las correlaciones no significativas, entre moderadas y muy grandes, entre algunas variables y el diferencial de puntos, lo que podría implicar que cada grupo de edad tiene su ritmo de juego óptimo. Este hallazgo podría conllevar que no existe una relación significativa entre las transiciones por minuto del equipo analizado y el éxito en el baloncesto. Del mismo modo, las publicaciones actuales (Fox et al., 2020c; García et al., 2022; Vázquez-Guerrero et al., 2020b) tampoco encontraron una relación positiva entre las cargas de entrenamiento y el rendimiento en el juego en el baloncesto mediante el uso de cargas externas e internas durante la competición de entrenamiento. Más en concreto, los jugadores profesionales de baloncesto presentaron relaciones insignificantes entre las variables de carga externa (por ejemplo, carreras a gran velocidad y aceleraciones y desaceleraciones de alta intensidad) e interna (por ejemplo, frecuencia cardiaca media), y las estadísticas relacionadas con el juego (García et al., 2022). En general, la falta de relación entre las transiciones de campo y el tiempo de juego, y las variables físicas y fisiológicas, con un mayor porcentaje de victorias y derrotas podría llevar a los profesionales del baloncesto a explorar diferentes factores contextuales que afectan y determinan el rendimiento.
Es necesario tener en cuenta una serie de limitaciones. A pesar de asumir la independencia, aún puede existir cierta dependencia residual entre los grupos de edad, lo cual podría influir en los presentes resultados. Asimismo, los resultados de las correlaciones deben interpretarse con cautela, ya que pueden verse influidos por la dependencia de los datos, la variabilidad del muestreo y el reducido tamaño de la muestra. En cuanto a la significación, este estudio ha confirmado la presencia de algunas diferencias estadísticamente significativas en los resultados. Sin embargo, estas diferencias muestran un tamaño del efecto pequeño o insignificante; por tanto, hay que tener cuidado al interpretar los hallazgos actuales. Aparte del tamaño del efecto, otra posible limitación podría ser el hecho de que todos los equipos supervisados pertenecían al mismo club y jugaban con la misma filosofía baloncestística. En consecuencia, se impone la precaución a la hora de generalizar estos resultados. Además, solo se examinaron cuatro partidos de la categoría U16. Los estudios futuros deberían examinar una mayor variedad de equipos de baloncesto con estilos y competiciones diferentes. Se midió el tiempo de juego continuo excluyendo el de descanso. Esto permitiría a los profesionales comprender mejor la densidad del baloncesto (cantidad total de volumen realizado en un tiempo determinado) y prescribir proporciones óptimas de trabajo y descanso para mejorar la preparación del jugador. Asimismo, solo se recogieron datos durante los partidos de baloncesto. Por lo tanto, sería recomendable examinar también ejercicios específicos de entrenamiento 5 contra 5 para evaluar los objetivos propuestos antes de la sesión.
Conclusión
Este estudio mostró muchas diferencias significativas entre los grupos de edad de baloncesto en cuanto al número de transiciones de campo, el tiempo de juego continuo y las transiciones por minuto. Por el contrario, las variables examinadas no presentaron diferencias significativas entre los cuartos del partido y no se encontró ninguna relación positiva con el éxito en el juego. Estas conclusiones demuestran la importancia de evaluar el rendimiento en el baloncesto desde una perspectiva holística que tenga en cuenta múltiples tipos de variables para comprender mejor los factores críticos del éxito durante las competiciones de baloncesto. Sin embargo, los entrenadores de baloncesto pueden utilizar esta información para mejorar el entrenamiento y la preparación del equipo con el fin de optimizar su rendimiento durante la competición.
Desde un punto de vista práctico, los entrenadores de baloncesto podrían:
- Hacer la mayoría de los ejercicios de entrenamiento 5 contra 5 a cancha completa en periodos de menos de 30 segundos.
- Planificar su entrenamiento en una mezcla de media cancha y un máximo de dos posesiones continuas (ida y vuelta).
- Incluir algunas secuencias de entre 30 segundos y 2 minutos y al menos una secuencia larga de aproximadamente 3 minutos y hasta 15 transiciones de campo continuas con el fin de garantizar que los jugadores estén preparados para una situación de juego extrema, infrecuente pero posible.
Agradecimientos
Los autores agradecen sinceramente el apoyo del proyecto del Gobierno de España titulado Optimización del proceso de preparación y del rendimiento competitivo en los deportes de equipo a partir de la integración multimodal y multinivel de datos mediante modelos inteligentes [PID2023-147577NB-I00], financiado para el período 2024-2027, en la convocatoria de 2023 de ayudas a «Proyectos de Generación de Conocimiento», en el marco del Programa Estatal para Impulsar la Investigación Científico-Técnica y su Transferencia, del Plan Estatal de Investigación Científica, Técnica y de Innovación del Ministerio de Ciencia, Innovación y Universidades (MCIU).
Referencias
[1] Bazanov, B., Haljand, R., & Võhandu, P. (2005). Offensive teamwork intensity as a factor influencing the result in basketball. International Journal of Performance Analysis in Sport, 5(2), 9–16. doi.org/10.1080/24748668.2005.11868323
[2] Bazanov, B., Võhandu, P., & Haljand, R. (2006). Factors influencing the teamwork intensity in basketball. International Journal of Performance Analysis in Sport, 6(2), 88–96. doi.org/10.1080/24748668.2006.11868375
[3] de Saá Guerra, Y., Martín González, J. M., García Manso, J. M., & García Rodríguez, A. (2016). Agrupación y equilibrio competitivo en el baloncesto profesional NBA y ACB. Apunts Educación Física y Deportes, 124, 07–26. doi.org/10.5672/apunts.2014-0983.es.(2016/2).124.01
[4] Ferioli, D., Rampinini, E., Martin, M., Rucco, D., la Torre, A., Petway, A., & Scanlan, A. (2020). Influence of ball possession and playing position on the physical demands encountered during professional basketball games. Biology of Sport, 37(3), 269–276. doi.org/10.5114/biolsport.2020.95638
[5] Fox, J. L., O’Grady, C. J., & Scanlan, A. T. (2020a). Game schedule congestion affects weekly workloads but not individual game demands in semi-professional basketball. Biology of Sport, 37(1), 59–67. doi.org/10.5114/biolsport.2020.91499
[6] Fox, J. L., Salazar, H., García, F., & Scanlan, A. T. (2020b). Peak external intensity decreases across quarters during basketball games. Montenegrin Journal of Sports Science and Medicine, 8(2), 5–12. doi.org/10.26773/mjssm.210304
[7] Fox, J. L., Stanton, R., J. O’Grady, C., Teramoto, M., Sargent, C., & T. Scanlan, A. (2020c). Are acute player workloads associated with in-game performance in basketball? Biology of Sport, 39(1), 95–100. doi.org/10.5114/biolsport.2021.102805
[8] García, F., Castellano, J., Reche, X., & Vázquez-Guerrero, J. (2021). Average game physical demands and the most demanding scenarios of basketball competition in various age groups. Journal of Human Kinetics, 79(1), 165–174. doi.org/10.2478/hukin-2021-0070
[9] García, F., Castellano, J, Vicens-Brodas, J., Vázquez-Guerrero, J., & Ferioli, D. (2023a). Impact of a six-day official tournament on physical demands, perceptual-physiological responses, well-being, and game performance of U-18 basketball players. International Journal of Sports Physiology and Performance. doi.org/10.1123/ijspp.2022-0460
[10] García, F., Fernández, D., & Martín, L. (2022). Relationship between game load and player’s performance in professional basketball. International Journal of Sports Physiology and Performance, 1–8. doi.org/10.1123/ijspp.2021-0511
[11] García, F., Fernández, D., Uckan, A., Vázquez-Guerrero, J., & Pla, F. (2023b). Does high tactical game rhythm present better effectiveness in basketball ? Sport Performance & Science Reports, 1.
[12] García, F., Vázquez-Guerrero, J., Castellano, J., Casals, M., & Schelling, X. (2020). Differences in physical demands between game quarters and playing positions on professional basketball players during official competition. Journal of Sports Science and Medicine, 19(2), 256–263.
[13] Gómez, A., Roqueta, E., Tarragó, J. R., Seirul·lo, F., & Cos, F. (2019). Training in team sports: coadjuvant training in the FCB. Apunts. Educació Física i Esports, 138, 13–25. doi.org/http://dx.doi.org/10.5672/apunts.2014-0983.cat.(2019/3).137.08
[14] Hopkins, W. G. (2006). A scale of magnitudes for effect statistics. SportSci. www.sportsci.org/resource/stats/index.html%0A
[15] Hulteen, R. M., Smith, J. J., Morgan, P. J., Barnett, L. M., Hallal, P. C., Colyvas, K., & Lubans, D. R. (2017). Global participation in sport and leisure-time physical activities: A systematic review and meta-analysis. Preventive Medicine, 95(2), 14–25. doi.org/https://doi.org/10.1016/j.ypmed.2016.11.027
[16] Kubatko, J., Oliver, D., Pelton, K., & Rosenbaum, D. T. (2007). A starting point for analyzing basketball statistics. Journal of Quantitative Analysis in Sports, 3(3). doi.org/10.2202/1559-0410.1070
[17] Miró, A., Vicens-bordas, J., Beato, M., Salazar, H., Coma, J., & Pintado, C. (2024). Differences in physical demands and player’s individual performance between winning and losing quarters on U-18 basketball players during competition. Journal of Functional Morphology and Kinesiology, 1–9.
[18] Oliver, D. (2004). Basketball on paper. Rules and tools for performance analysis. Brassey´s Inc.
[19] Ortega, E., Cárdenas, D., Sainz de Baranda, P., & Palao, J. (2006). Differences between winning and losing teams in youth basketball games (14-16 years old). International Journal of Applied Sports Sciences, 18(2), 14.
[20] Pérez-Chao, E. A., Portes, R., Gómez, M. Á., Parmar, N., Lorenzo, A., & Jiménez-Sáiz, S. L. (2023). A Narrative Review of the Most Demanding Scenarios in Basketball: Current Trends and Future Directions. Journal of Human Kinetics , 89(October), 231–245. doi.org/10.5114/jhk/170838
[21] Piedra, A., Peña, J., & Caparrós, T. (2021). Monitoring training loads in basketball: a narrative review and practical guide for coaches and practitioners. Strength and Conditioning Journal, 43(5), 12–35. doi.org/10.1519/SSC.0000000000000620
[22] Plonsky, L. (2015). Advancing quantitative methods in second language research (U. K. Routledge. (ed.); (1st ed.)).
[23] Pons, E., Martín-García, A., Guitart, M., Guerrero, I., Tarragó, J. R., Seirul·lo, F., & Cos, F. (2020). Training in team sports: optimiser training in the FCB. Apunts, Educació Física i Esports, October, 55–66. doi.org/https://doi.org/10.5672/apunts.2014-0983.es.(2020/4).142.07
[24] Romarís, I. U., Refoyo, I., & Lorenzo, J. (2016). Comparison of the game rhythm in Spanish Female League and ACB League. Cuadernos de Psicologia Del Deporte, 16(2), 161–168. www.scopus.com/inward/record.uri?eid=2-s2.0-85010754425&partnerID=40&md5=1f79828e33d274d91679e888a2298b08
[25] Salazar, H., & Castellano Paulis, J. (2020). Analysis of basketball game: Relationship between live actions and stoppages in different levels of competition. E-BALONMANO COM, 16(2), 109–118.
[26] Sampaio, J., & Janeira, M. (2003). Statistical analyses of basketball team performance: understanding teams ’ wins and losses according to a different index of ball possessions. International Journal of Performance Analysis in Sport, 3(1), 40–49. doi.org/10.1080/24748668.2003.11868273
[27] Sampaio, J., Lago, C., & Drinkwater, E. (2010). Explanations for the United States of Americas dominance in basketball at the Beijing Olympic. Journal of Sports Sciences, 28(2), 147–152. doi.org/https://doi.org/10.1080/02640410903380486
[28] Scanlan, A. T., Dascombe, B. J., Reaburn, P., & Dalbo, V. J. (2012). The physiological and activity demands experienced by Australian female basketball players during competition. Journal of Science and Medicine in Sport, 15(4), 341–347. doi.org/10.1016/j.jsams.2011.12.008
[29] Scanlan, A. T., Tucker, P. S., Dascombe, B. J., & Berkelmans, D. M. (2015). Fluctuations in activity demands across game quarters in professional and semiprofessional male basketball. Journal of Strength & Conditioning Research, 29(11), 3006–3015. doi.org/https://doi.org/10.1519/JSC.0000000000000967
[30] Tarragó, J. R., Massafret-Marimón, M., Seirul·lo, F., & Cos, F. (2019). Training in team sports: structured training in the FCB. Apunts, Educació Física i Esports, 137(3), 103–114. doi.org/https://dx.doi.org/10.5672/apunts.2014-0983.es.(2019/3).137.08
[31] Vázquez-Guerrero, J., Ayala Rodríguez, F., García, F., & Sampaio, J. E. (2020a). The most demanding scenarios of play in basketball competition from elite Under-18 teams. Frontiers in Psychology, 11, 552. doi.org/https://doi.org/10.3389/fpsyg.2020.00552
[32] Vázquez-Guerrero, J., Casals, M., Corral-López, J., & Sampaio, J. (2020b). Higher training workloads do not correspond to the best performances of elite basketball players. Research in Sports Medicine, 00(00), 1–13. doi.org/10.1080/15438627.2020.1795662
[33] Vázquez-Guerrero, J., Fernández-Valdés, B., Jones, B., Moras, G., Reche, X., & Sampaio, J. (2019). Changes in physical demands between game quarters of U18 elite official basketball games. Plos One, 14(9), 1–14. doi.org/https://doi.org/10.1371/journal.pone.0221818
[34] Zamora, V., Capdevila, L., Lalanza, J. F., & Caparrós, T. (2021). Heart rate variability and accelerometry: Workload control management in Men’s basketball. Apunts. Educacion Fisica y Deportes, 143, 44–51.doi.org/10.5672/APUNTS.2014-0983.ES.(2021/1).143.06
ISSN: 2014-0983
Recibido: 18 de julio de 2024
Aceptado: 25 de febrero de 2025
Publicado: 1 de julio de 2025
Editado por: © Generalitat de Catalunya Departament de la Presidència Institut Nacional d’Educació Física de Catalunya (INEFC)
© Copyright Generalitat de Catalunya (INEFC). Este artículo está disponible en la url https://www.revista-apunts.com/ Este trabajo está bajo la licencia Creative Commons Attribution-NonCommercial-NoDerivatives 4.0 International License. Las imágenes u otro material de terceros en este artículo se incluyen en la licencia Creative Commons del artículo, a menos que se indique lo contrario en la línea de crédito. Si el material no está incluido en la licencia Creative Commons, los usuarios deberán obtener el permiso del titular de la licencia para reproducir el material. Para ver una copia de esta licencia, visite https://creativecommons.org/licenses/by-nc-nd/4.0/deed.es_ES
