Diferències en les transicions de camp i el temps de joc continu en el bàsquet
*Correspondència: Franc García francgarciagarrido@gmail.com
Citació
García, F., Fernández, D., Pintado, C., Miró, A. y Lara-Bercial, S. (2025). Differences in court shifts and continuous playing time in basketball. Apunts Educación Física y Deportes, 161, 41-49. https://doi.org/10.5672/apunts.2014-0983.es.(2025/3).161.05
Resum
L’objectiu d’aquest estudi era examinar les diferències en el nombre de transicions de camp i el temps de joc continu entre grups d’edat i quarts de partit durant la competició per optimitzar la preparació dels equips. Es van recopilar dades de 28 partits oficials disputats en quatre categories d’edat: sots 14 (U14), sots 16 (U16), sots 18 (U18) i absoluta. Va participar en aquest estudi un total de 61 jugadors de bàsquet. Es van utilitzar proves ANOVA 2×2 per permutació i proves post hoc per comprovar la significació estadística (p <.05). Els grups d’edat van mostrar diferències significatives entre les transicions de camp, el temps i la relació entre ambdues variables (transicions per minut), amb una tendència a la baixa en totes les variablesdes de la categoria U14 fins a l’absoluta. Tanmateix, no hi va haver diferències significatives en les variables estudiades entre els quarts de partit ni relacions positives amb el diferencial de punts. En conclusió, les transicions per minut disminueixen a mesura que avancem en els grups d’edat, des del bàsquet U14 fins al sènior. Aquests resultats podrien ajudar els professionals a millorar la preparació dels equips proposant seqüències específiques d’entrenament 5 contra 5 basades en els casos més freqüents, així com en situacions límit. Tanmateix, la falta de correlació entre les variables estudiades i el resultat dels partits hauria d’animar els professionals del bàsquet a adoptar un enfocament holístic i explorar altres factors per comprendre millor el rendiment.
Introducció
El bàsquet és un dels esports d’equip més practicats del món. A Europa i els Estats Units, els equips d’alt nivell poden jugar fins a 100 partits oficials en una temporada d’entre vuit i deu mesos (de Saá Guerra et al., 2016; Hulteen et al., 2017). De la mateixa manera, els equips del planter (categories juvenils dels equips professionals de bàsquet) també solen participar en lligues regulars i tornejos sobrecarregats en els quals se’ls exigeix jugar nombrosos partits de 5 contra 5 durant un període molt curt (García et al., 2023a; Miró et al., 2024).En aquests partits, els jugadors participen en nombroses i contínues transicions de camp (canvi de possessió després del qual l’equip que recupera el control de la pilota creua la línia de mig camp) per aconseguir el seu objectiu final d’anotar punts i no concedir-los (Fox et al., 2020a). Per això, és fonamental dur a terme una anàlisi detallada del nombre de transicions de camp successives i contínues que els jugadors de bàsquet han de ser capaços de suportar durant els partits, per millorar els exercicis d’entrenament i els plans destinats a optimitzar el rendiment de l’equip durant la competició (Piedra et al., 2021; Sampaio i Janeira, 2003).
En l’actualitat, la majoria de les anàlisis durant partits de bàsquet se centra en la supervisió interna i externa de la càrrega de treball identificada mitjançant tecnologies com monitors de freqüència cardíaca (per exemple, els paràmetres de la freqüència cardíaca), dispositius inercials (per exemple, càrrega i acceleracions del jugador) i sistemes de posicionament local (per exemple, variables relacionades amb la distància) (Piedra et al., 2021; Zamora et al., 2021). Per il·lustrar aquesta qüestió, és ben sabut que, durant els partits, els jugadors de bàsquet poden recórrer entre 130 i 150 m/min de distància total i entre 4 i 6 m/min de carrera a alta velocitat a intensitats fisiològiques mitjanes superiors al 80% de la freqüència cardíaca màxima (García et al., 2022). Més recentment, també s’ha utilitzat la càrrega externa per detectar possibles diferències entre quarts de partit (García et al., 2020; Miró et al., 2024; Vázquez-Guerrero et al., 2020a) i grups d’edat (García et al., 2021) durant competicions de bàsquet. Els estudis actuals han mostrat nombroses diferències entre quarts després d’examinar les mitjanes i les seqüències més exigents entre jugadors del planter (Vázquez-Guerrero et al., 2019; Vázquez-Guerrero et al., 2020a), semiprofessionals (Fox et al., 2020b) i professionals (García et al., 2020). De la mateixa manera, s’han analitzat grups d’edat com els sots 12, sots 14, sots 16 i sots 18 utilitzant la càrrega externa (García et al., 2021). Mentre que la distància recorreguda a alta velocitat augmentava amb l’edat, els menors de 12 anys van mostrar el resultat més alt en la distància total relativa recorreguda i els valors més baixos en les seqüències de 60 segons més exigents durant els partits, en comparació amb els seus homòlegs de més edat (García et al., 2021; Pérez-Chao et al., 2023). No obstant això, es pot esmentar que, en l’àmbit del bàsquet, els grups d’edat només s’han examinat i comparat utilitzant la càrrega externa.
A més de les variables de càrrega interna i externa, alguns estudis recents sobre esports d’equip han proposat la inclusió de més variables qualitatives per complementar la perspectiva lineal i quantitativa basada en paràmetres físics i fisiològics (García et al., 2023b; Ortega Toro et al., 2006). En concret, García et al. (2023b) van fer servir accions tàctiques ofensives (per exemple, diferents tipus de pantalles, passades i talls) per investigar els factors que influeixen en l’eficàcia en el bàsquet. De la mateixa manera, les publicacions recents (Bazanov et al., 2005, 2006; Ortega Toro et al., 2006) també han examinat el rendiment en el bàsquet des d’una perspectiva més ecològica i han inclòs el concepte de ritme de joc, entès com la suma d’accions tècniques i tàctiques dividida pel temps. De la mateixa manera, alguns estudis anteriors sobre bàsquet també han estudiat el número i la durada de les possessions de pilota (definides com el període de temps en què un equip té el control clar de la pilota) per comparar diferents seqüències de joc (Salazar i Castellano Paulis, 2020; Sampaio i Janeira, 2003). A més de ser útils per comparar sexes i nivells de joc (Romarís et al., 2016), les possessions de pilota, calculades amb equacions indirectes que utilitzen estadístiques comunes relacionades amb el joc, com els llançaments de camp, els rebots, les pèrdues de pilota i els tirs lliures (Oliver, D., 2004; Kubatko et al., 2007), també s’han utilitzat per comprendre els factors crucials dels equips d’èxit. La conclusió dels esmentats estudis va ser que si es juga amb atacs de ritme més ràpid (més curts i amb un major nombre de possessions de pilota) se solen aconseguir més punts per partit en el bàsquet (Bazanov et al., 2005; Sampaio et al., 2010). Malgrat que en les publicacions recents s’han utilitzat les possessions de pilota i les accions tècniques i tàctiques del bàsquet per investigar les possibles diferències entre els equips guanyadors i els perdedors (Bazanov et al., 2005, 2006; Ortega Toro et al., 2006), fins ara cap estudi no s’ha centrat en el nombre total de transicions de camp en el bàsquet i la seva distribució en els períodes de temps de joc continu (entesos com a períodes de joc ininterromput) en diferents grups d’edat durant els partits de bàsquet.
Per tant, l’objectiu principal d’aquest estudi era examinar les diferències en el nombre de transicions de camp acumulades durant el temps de joc continu en el bàsquet entre grups d’edat i quarts de partit per optimitzar els exercicis d’entrenament específics i la preparació del partit. Un objectiu secundari era detectar possibles relacions entre les transicions de camp, el temps de joc continu i les transicions de camp per minut amb el marcador final dels partits examinats. La nostra hipòtesi principal era que hi hauria diferències significatives entre els grups d’edat i una relació nul·la entre les variables estudiades i el resultat del partit.
Materials i mètodes
Participants
Els participants en aquest estudi eren jugadors de bàsquet de sexe masculí (mitjana ± DT, edat: 14.5 ± 1.7 anys; estatura: 186.3 ± 13.0 cm; massa corporal: 72.0 ± 13.9 kg; i envergadura: 188.4 ± 13.0), dins del planter d’elit d’un equip de l’Eurolliga. Els jugadors van competir en quatre grups d’edat: sots 14 (U14), sots 16 (U16), sots 18 (U18) i un equip sènior (Taula 1). Els equips U14 i U16 van competir al màxim nivell regional possible, mentre que l’U18 va jugar en ambdues competicions: la seva lliga regional i la quarta divisió espanyola (EBA), de caràcter semiprofessional. Tots els partits es van disputar amb el reglament de la FIBA. Així mateix, tots els equips van seguir la metodologia específica de formació estructurada (Tarragó et al., 2019), consistent en formació coadjuvant i optimitzadora (Gómez et al., 2019; Pons et al., 2020).

El present estudi es va dur a terme d’acord amb les disposicions de la Declaració de Hèlsinki (Harriss i Atkinson, 2015), i no va ser necessària l’aprovació d’un comitè ètic, ja que les dades es van obtenir de manera ordinària durant partits de lliga (Winter i Maughan, 2009). Malgrat això, els jugadors i els seus pares van donar el seu consentiment per escrit després que se’ls expliqués la finalitat de l’estudi i el protocol d’investigació juntament amb els requisits.
Metodologia
Es va fer servir un disseny descriptiu i observacional per examinar les diferències entre les transicions de camp, el temps de joc continu i les transicions de camp per minut, entre grups d’edat i quarts de partit. Es van recollir dades de 28 partits de lliga a casa (7 partits U14; 4 partits U16; 8 partits U18; 8 partits sèniors d’EBA) durant la temporada 2022-2023 del bàsquet de competició espanyol (de setembre a juny). La mostra final va incloure un total de 2087 observacions. A més, es pot destacar que les dades es van registrar en condicions diferents per a cada grup, com ara el context competitiu, els requisits tàctics i la variació dels rols individuals. Si bé alguns jugadors podien estar presents en més d’un equip, l’interval de temps entre mesuraments podria limitar la influència de la mateixa unitat experimental en tots els grups d’edat.
El mesurament de les transicions de camp (Figura 1) es va inspirar en la nostra experiència d’entrenadors de bàsquet que planificaven els seus entrenaments en sèries de 5 contra 5 jugant a mitja pista més una o dues transicions, que en aquest estudi s’han denominat transicions 1.5 o 2.5, respectivament. Les transicions de camp i el temps de joc continu es van recollir manualment durant els partits. Així mateix, la relació entre transicions de camp i temps de joc continu en el bàsquet es va calcular i normalitzar a un minut, en forma de transicions per minut. Es va utilitzar un cronòmetre per calcular el temps de joc continu en directe. Finalment, totes les anàlisis dels partits les va fer el mateix professional, que és un investigador experimentat i té la titulació d’entrenador de bàsquet més alta del sistema espanyol (entrenador nacional, nivell 3).

Anàlisi estadística
Totes les anàlisis estadístiques es van fer amb RStudio versió 2022.07.2 (RStudio, Inc.). Els resultats descriptius es van presentar com a mitjana ± desviació típica. Per obtenir més informació, i a causa de la asimetria, també vam utilitzar els valors de moda i màxim. Cap variable no va superar les proves d’homogeneïtat de la variància (prova de Levene) ni les de normalitat (prova de Shapiro-Wilk). A causa d’aquest tipus de distribució de les dades, es va realitzar un ANOVA de permutació 2×2 amb un màxim de 5000 iteracions (Venables, W.N., i Ripley, B.D., 1997), per identificar diferències significatives en totes les variables estudiades. Les dues variables independents utilitzades en el model 2×2 van ser el grup d’edat a què pertanyien els jugadors i el quart de partit. Tots els valors de p registrats eren les probabilitats que s’observessin les mides de l’efecte absolutes si es complia la hipòtesi nul·la de diferència zero (Plonsky, 2015). Així mateix, vam afegir el valor eta al quadrat (η)2 per descriure la mida de l’efecte; on, segons Cohen (Cohen, 1988), la magnitud es va considerar menyspreable (η2 < .01), petita (.01 < η2 < .06), mitjana (.06 < η2 < .14) o gran (η2 < .14). Es van fer proves HSD de Tukey post hoc després de l’ANOVA entre cada comparació per parells. També es va dur a terme una anàlisi en forma de correlació amb remostreig bootstrap i amb 2000 repeticions (Wilcox, 2010) entre la mitjana de la variable del partit estudiat i la diferència de punts al final del partit, segons el grup d’edat; i es va fer servir el mètode corregit per biaix i accelerat (BCa, per les seves sigles en anglès) per calcular els intervals de confiança del 95% de l’anàlisi de correlació.
La magnitud dels coeficients de correlació, segons Hopkins (Hopkins, 2006), es va considerar insignificant (r < .1), petita (.1 < r <.3), moderada (.3 < r < .5), gran (.5 < r < .7), molt gran (.7 < r < .9), gairebé perfecta (r < .9) o perfecta (r = 1).
Resultats
A les Taules 2 i 3 es presenten els resultats descriptius agrupats per grups d’edat i per quarts. A més, els resultats descriptius de totes les variables i els resultats de l’ANOVA de permutació 2×2 es presenten a la Taula 4, i la representació visual dels resultats i l’anàlisi post hoc a la Figura 2.




Només es van trobar diferències significatives entre els grups d’edat en les tres variables estudiades (Temps de joc: F Iteracions = 5000, p < .001, η2 = .02; Nombre de transicions de camp: F Iteracions = 5000, p < .001, η2 = .02; Transicions per minut: F Iteracions = 5000, p < .001, η2 < .001). En les tres variables, la mida de l’efecte de la diferència va ser petita i fins i tot insignificant en la variable Transicions per minut. Finalment, a la Taula 5 es presenten els valors mitjans i màxims.

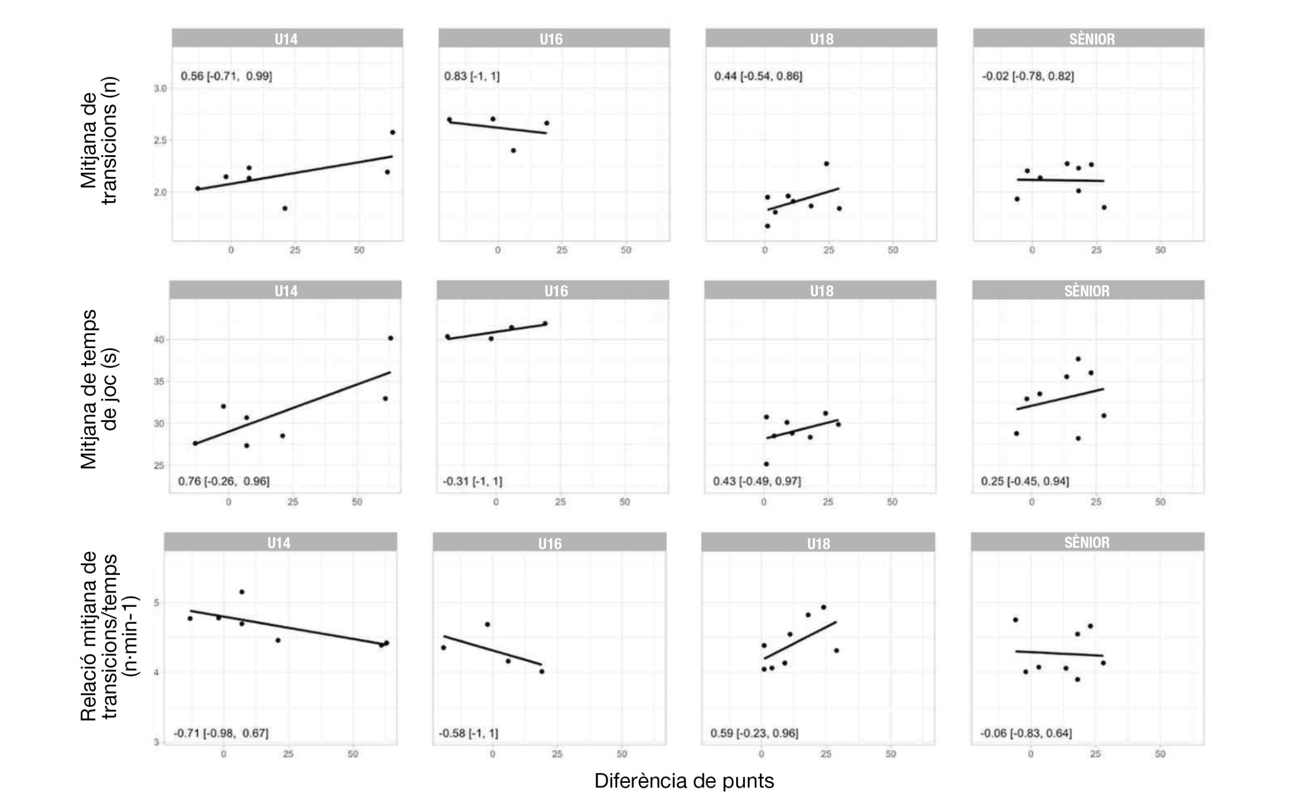
Els resultats de les correlacions agrupades per grups d’edat es presenten a la Figura 3. Si bé es van trobar algunes correlacions moderades entre les variables i el resultat del partit, cap d’elles no va ser significativa.

Discussió
El present estudi descriptiu tenia per meta comparar el nombre de transicions de camp durant el temps de joc continu entre grups d’edat i quarts de partit, així com examinar la seva relació amb el marcador final. La principal troballa és que el nombre de transicions de camp, el temps de joc i les transicions per minut van mostrar diferències significatives entre els grups d’edat. Tanmateix, no hi va haver diferències significatives en les variables estudiades entre els quarts de joc. A més, cap de les variables estudiades no va presentar una relació significativa amb el marcador final, examinada com la diferència de punts entre l’equip estudiat i el rival. Malgrat la falta de correlació significativa entre un valor concret de la variable Transicions per minut i l’èxit durant les competicions de bàsquet, aquests resultats podrien ajudar a optimitzar la prescripció de situacions específiques d’entrenament 5 contra 5 adaptades a cada nivell d’edat específic.
Quant a les diferències entre grups d’edat en el nombre de transicions de camp, el temps de joc continu i les transicions per minut, els nostres resultats coincideixen amb estudis anteriors (García et al., 2021), que mostren una tendència a la baixa entre l’edat i les variables de càrrega externa. Mentre que García et al. (2021) van descobrir que la distància total recorreguda era significativament més gran a l’equip U12 (87.1m/min) en comparació amb els seus homòlegs de més edat (U14 a sènior: 73.9- 82.5 m/min) i que els jugadors sèniors van presentar resultats significativament més baixos que als altres quatre equips juvenils avaluats en la mateixa variable, l’estudi actual també va mostrar que les transicions per minut van disminuir de la U14 a la U16, van augmentar lleugerament de la U16 a la U18 i van tornar a disminuir de la U18 a la sènior. Cal destacar que la competició U18 i sènior la va disputar el mateix grup de jugadors U18, la qual cosa demostra la importància del context per explicar el ritme de joc en el bàsquet. En concret, el nombre de transicions de camp, el temps de joc i les transicions per minut van presentar diferències significatives (p < .001) i mides de l’efecte petites (TE = 0.2) entre els grups d’edat. A més, el valor màxim de les variables Transicions de camp (n = 15) i Transicions per minut (n = 22) també es va trobar en el nivell d’edat U14 (Taula 5). Una possible explicació podria ser que els jugadors de bàsquet més experimentats tenen millors habilitats d’interpretació del joc i de presa de decisions, fet que condueix a una millor gestió del joc i a una disminució dels valors d’exigència física (Ferioli et al., 2020).
Encara que els resultats en les transicions de camp, el temps i les transicions per minut van ser significativament diferents entre els jugadors de bàsquet dels nivells U14, U16, U18 i sènior, el present estudi no va detectar variacions significatives entre quarts de partit. De la mateixa manera, les publicacions recents (Scanlan et al., 2012, 2015) no van poder registrar diferències per quarts després de l’anàlisi dels paràmetres de distància i velocitat en jugadors sèniors. Malgrat la falta de significació, aquest estudi suggereix una disminució del nombre de transicions de camp i del temps de joc continu en tots els grups d’edat a mesura que avança el partit, amb els valors més baixos en la segona part del partit (Taula 3). En aquest sentit, el valor de moda (el que es produeix amb més freqüència) de les transicions de camp i del temps de joc continu es va trobar en l’últim quart del partit en tots els grups d’edat (Taula 5). Per contra, les nostres dades mostren una tendència a l’alça en la variable Transicions per minut durant el partit. L’esmentat augment podria atribuir-se al major nombre d’interrupcions del joc produïdes durant l’últim quart, la qual cosa podria concedir als jugadors més temps de recuperació i, per tant, la capacitat de jugar a un ritme més alt (Salazar i Castellano Paulis, 2020).
De manera similar al que va succeir amb les diferències entre quarts, el diferencial de punts entre l’equip examinat i el seu rival no va tenir una relació significativa amb les tres variables estudiades. No obstant això, el present estudi va trobar interessants les correlacions no significatives, entre moderades i molt grans, entre algunes variables i el diferencial de punts, cosa que podria implicar que cada grup d’edat té el seu ritme de joc òptim. Aquesta troballa podria comportar que no existeix una relació significativa entre les transicions per minut de l’equip analitzat i l’èxit en el bàsquet. De la mateixa manera, les publicacions actuals (Fox et al., 2020c; García et al., 2022; Vázquez-Guerrero et al., 2020b) tampoc no van trobar una relació positiva entre les càrregues d’entrenament i el rendiment en el joc en el bàsquet mitjançant l’ús de càrregues externes i internes durant la competició d’entrenament. Més en concret, els jugadors professionals de bàsquet van presentar relacions insignificants entre les variables de càrrega externa (per exemple, carreres a gran velocitat i acceleracions i desacceleracions d’alta intensitat) i interna (per exemple, freqüència cardíaca mitjana), i les estadístiques relacionades amb el joc (García et al., 2022). En general, la falta de relació entre les transicions de camp i el temps de joc, i les variables físiques i fisiològiques, amb un percentatge més gran de victòries i derrotes podria portar els professionals del bàsquet a explorar diferents factors contextuals que afecten i determinen el rendiment. Cal tenir en compte una sèrie de limitacions. Malgrat assumir la independència, encara pot existir certa dependència residual entre els grups d’edat, la qual cosa podria influir en els presents resultats. Així mateix, els resultats de les correlacions s’han d’interpretar amb cautela, ja que es poden veure influïts per la dependència de les dades, la variabilitat del mostreig i la reduïda mida de la mostra. Quant a la significació, aquest estudi ha confirmat la presència d’algunes diferències estadísticament significatives en els resultats. Tanmateix, aquestes diferències mostren una mida de l’efecte petit o insignificant; per tant, cal anar amb compte en interpretar les troballes actuals. A banda de la mida de l’efecte, una altra possible limitació podria ser el fet que tots els equips supervisats pertanyien al mateix club i jugaven amb la mateixa filosofia de bàsquet. En conseqüència, s’imposa la precaució a l’hora de generalitzar aquests resultats. A més, només es van examinar quatre partits de la categoria U16. Els estudis futurs haurien d’examinar una varietat d’equips de bàsquet més gran amb estils i competicions diferents. Es va mesurar el temps de joc continu excloent el de descans. Això permetria als professionals comprendre millor la densitat del bàsquet (quantitat total de volum realitzat en un temps determinat) i prescriure proporcions òptimes de treball i descans per millorar la preparació del jugador. Així mateix, només es van recollir dades durant els partits de bàsquet. Per tant, seria recomanable examinar també exercicis específics d’entrenament 5 contra 5 per avaluar els objectius proposats abans de la sessió.
Conclusió
Aquest estudi va mostrar moltes diferències significatives entre els grups d’edat de bàsquet quant al nombre de transicions de camp, el temps de joc continu i les transicions per minut. Per contra, les variables examinades no van presentar diferències significatives entre els quarts del partit i no es va trobar cap relació positiva amb l’èxit en el joc. Aquestes conclusions demostren la importància d’avaluar el rendiment en el bàsquet des d’una perspectiva holística que tingui en compte múltiples tipus de variables per comprendre millor els factors crítics de l’èxit durant les competicions de bàsquet. Tanmateix, els entrenadors de bàsquet poden utilitzar aquesta informació per millorar l’entrenament i la preparació de l’equip a fi d’optimitzar el seu rendiment durant la competició.
Des d’un punt de vista pràctic, els entrenadors de bàsquet podrien:
- Fer la majoria dels exercicis d’entrenament 5 contra 5 a pista completa en períodes de menys de 30 segons.
- Planificar el seu entrenament en una barreja de mitja pista i un màxim de dues possessions contínues (anada i tornada).
- Incloure algunes seqüències d’entre 30 segons i 2 minuts i almenys una seqüència llarga d’aproximadament 3 minuts i fins a 15 transicions de camp contínues a fi de garantir que els jugadors estiguin preparats per a una situació de joc extrema, infreqüent però possible.
Agraïments
Els autors agraeixen sincerament el suport del projecte del Govern d’Espanya titulat Optimització del procés de preparació i del rendiment competitiu en els esports d’equip a partir de la integració multimodal i multinivell de dades mitjançant models intel·ligents [PID2023-147577NB-I00], finançat per al període 2024-2027, en la convocatòria de 2023 d’ajuts a «Projectes de Generació de Coneixement», en el marc del Programa Estatal per a l’Impuls de la Recerca Cientificotècnica i la seva Transferència, del Pla Estatal d’Investigació Científica, Tècnica i d’Innovació del Ministeri de Ciència, Innovació i Universitats (MCIU).
Referències
[1] Bazanov, B., Haljand, R., & Võhandu, P. (2005). Offensive teamwork intensity as a factor influencing the result in basketball. International Journal of Performance Analysis in Sport, 5(2), 9–16. doi.org/10.1080/24748668.2005.11868323
[2] Bazanov, B., Võhandu, P., & Haljand, R. (2006). Factors influencing the teamwork intensity in basketball. International Journal of Performance Analysis in Sport, 6(2), 88–96. doi.org/10.1080/24748668.2006.11868375
[3] de Saá Guerra, Y., Martín González, J. M., García Manso, J. M., & García Rodríguez, A. (2016). Agrupación y equilibrio competitivo en el baloncesto profesional NBA y ACB. Apunts Educación Física y Deportes, 124, 07–26. doi.org/10.5672/apunts.2014-0983.es.(2016/2).124.01
[4] Ferioli, D., Rampinini, E., Martin, M., Rucco, D., la Torre, A., Petway, A., & Scanlan, A. (2020). Influence of ball possession and playing position on the physical demands encountered during professional basketball games. Biology of Sport, 37(3), 269–276. doi.org/10.5114/biolsport.2020.95638
[5] Fox, J. L., O’Grady, C. J., & Scanlan, A. T. (2020a). Game schedule congestion affects weekly workloads but not individual game demands in semi-professional basketball. Biology of Sport, 37(1), 59–67. doi.org/10.5114/biolsport.2020.91499
[6] Fox, J. L., Salazar, H., García, F., & Scanlan, A. T. (2020b). Peak external intensity decreases across quarters during basketball games. Montenegrin Journal of Sports Science and Medicine, 8(2), 5–12. doi.org/10.26773/mjssm.210304
[7] Fox, J. L., Stanton, R., J. O’Grady, C., Teramoto, M., Sargent, C., & T. Scanlan, A. (2020c). Are acute player workloads associated with in-game performance in basketball? Biology of Sport, 39(1), 95–100. doi.org/10.5114/biolsport.2021.102805
[8] García, F., Castellano, J., Reche, X., & Vázquez-Guerrero, J. (2021). Average game physical demands and the most demanding scenarios of basketball competition in various age groups. Journal of Human Kinetics, 79(1), 165–174. doi.org/10.2478/hukin-2021-0070
[9] García, F., Castellano, J, Vicens-Brodas, J., Vázquez-Guerrero, J., & Ferioli, D. (2023a). Impact of a six-day official tournament on physical demands, perceptual-physiological responses, well-being, and game performance of U-18 basketball players. International Journal of Sports Physiology and Performance. doi.org/10.1123/ijspp.2022-0460
[10] García, F., Fernández, D., & Martín, L. (2022). Relationship between game load and player’s performance in professional basketball. International Journal of Sports Physiology and Performance, 1–8. doi.org/10.1123/ijspp.2021-0511
[11] García, F., Fernández, D., Uckan, A., Vázquez-Guerrero, J., & Pla, F. (2023b). Does high tactical game rhythm present better effectiveness in basketball ? Sport Performance & Science Reports, 1.
[12] García, F., Vázquez-Guerrero, J., Castellano, J., Casals, M., & Schelling, X. (2020). Differences in physical demands between game quarters and playing positions on professional basketball players during official competition. Journal of Sports Science and Medicine, 19(2), 256–263.
[13] Gómez, A., Roqueta, E., Tarragó, J. R., Seirul·lo, F., & Cos, F. (2019). Training in team sports: coadjuvant training in the FCB. Apunts. Educació Física i Esports, 138, 13–25. doi.org/http://dx.doi.org/10.5672/apunts.2014-0983.cat.(2019/3).137.08
[14] Hopkins, W. G. (2006). A scale of magnitudes for effect statistics. SportSci. www.sportsci.org/resource/stats/index.html%0A
[15] Hulteen, R. M., Smith, J. J., Morgan, P. J., Barnett, L. M., Hallal, P. C., Colyvas, K., & Lubans, D. R. (2017). Global participation in sport and leisure-time physical activities: A systematic review and meta-analysis. Preventive Medicine, 95(2), 14–25. doi.org/https://doi.org/10.1016/j.ypmed.2016.11.027
[16] Kubatko, J., Oliver, D., Pelton, K., & Rosenbaum, D. T. (2007). A starting point for analyzing basketball statistics. Journal of Quantitative Analysis in Sports, 3(3). doi.org/10.2202/1559-0410.1070
[17] Miró, A., Vicens-bordas, J., Beato, M., Salazar, H., Coma, J., & Pintado, C. (2024). Differences in physical demands and player’s individual performance between winning and losing quarters on U-18 basketball players during competition. Journal of Functional Morphology and Kinesiology, 1–9.
[18] Oliver, D. (2004). Basketball on paper. Rules and tools for performance analysis. Brassey´s Inc.
[19] Ortega, E., Cárdenas, D., Sainz de Baranda, P., & Palao, J. (2006). Differences between winning and losing teams in youth basketball games (14-16 years old). International Journal of Applied Sports Sciences, 18(2), 14.
[20] Pérez-Chao, E. A., Portes, R., Gómez, M. Á., Parmar, N., Lorenzo, A., & Jiménez-Sáiz, S. L. (2023). A Narrative Review of the Most Demanding Scenarios in Basketball: Current Trends and Future Directions. Journal of Human Kinetics , 89(October), 231–245. doi.org/10.5114/jhk/170838
[21] Piedra, A., Peña, J., & Caparrós, T. (2021). Monitoring training loads in basketball: a narrative review and practical guide for coaches and practitioners. Strength and Conditioning Journal, 43(5), 12–35. doi.org/10.1519/SSC.0000000000000620
[22] Plonsky, L. (2015). Advancing quantitative methods in second language research (U. K. Routledge. (ed.); (1st ed.)).
[23] Pons, E., Martín-García, A., Guitart, M., Guerrero, I., Tarragó, J. R., Seirul·lo, F., & Cos, F. (2020). Training in team sports: optimiser training in the FCB. Apunts, Educació Física i Esports, October, 55–66. doi.org/https://doi.org/10.5672/apunts.2014-0983.es.(2020/4).142.07
[24] Romarís, I. U., Refoyo, I., & Lorenzo, J. (2016). Comparison of the game rhythm in Spanish Female League and ACB League. Cuadernos de Psicologia Del Deporte, 16(2), 161–168. www.scopus.com/inward/record.uri?eid=2-s2.0-85010754425&partnerID=40&md5=1f79828e33d274d91679e888a2298b08
[25] Salazar, H., & Castellano Paulis, J. (2020). Analysis of basketball game: Relationship between live actions and stoppages in different levels of competition. E-BALONMANO COM, 16(2), 109–118.
[26] Sampaio, J., & Janeira, M. (2003). Statistical analyses of basketball team performance: understanding teams ’ wins and losses according to a different index of ball possessions. International Journal of Performance Analysis in Sport, 3(1), 40–49. doi.org/10.1080/24748668.2003.11868273
[27] Sampaio, J., Lago, C., & Drinkwater, E. (2010). Explanations for the United States of Americas dominance in basketball at the Beijing Olympic. Journal of Sports Sciences, 28(2), 147–152. doi.org/https://doi.org/10.1080/02640410903380486
[28] Scanlan, A. T., Dascombe, B. J., Reaburn, P., & Dalbo, V. J. (2012). The physiological and activity demands experienced by Australian female basketball players during competition. Journal of Science and Medicine in Sport, 15(4), 341–347. doi.org/10.1016/j.jsams.2011.12.008
[29] Scanlan, A. T., Tucker, P. S., Dascombe, B. J., & Berkelmans, D. M. (2015). Fluctuations in activity demands across game quarters in professional and semiprofessional male basketball. Journal of Strength & Conditioning Research, 29(11), 3006–3015. doi.org/https://doi.org/10.1519/JSC.0000000000000967
[30] Tarragó, J. R., Massafret-Marimón, M., Seirul·lo, F., & Cos, F. (2019). Training in team sports: structured training in the FCB. Apunts, Educació Física i Esports, 137(3), 103–114. doi.org/https://dx.doi.org/10.5672/apunts.2014-0983.es.(2019/3).137.08
[31] Vázquez-Guerrero, J., Ayala Rodríguez, F., García, F., & Sampaio, J. E. (2020a). The most demanding scenarios of play in basketball competition from elite Under-18 teams. Frontiers in Psychology, 11, 552. doi.org/https://doi.org/10.3389/fpsyg.2020.00552
[32] Vázquez-Guerrero, J., Casals, M., Corral-López, J., & Sampaio, J. (2020b). Higher training workloads do not correspond to the best performances of elite basketball players. Research in Sports Medicine, 00(00), 1–13. doi.org/10.1080/15438627.2020.1795662
[33] Vázquez-Guerrero, J., Fernández-Valdés, B., Jones, B., Moras, G., Reche, X., & Sampaio, J. (2019). Changes in physical demands between game quarters of U18 elite official basketball games. Plos One, 14(9), 1–14. doi.org/https://doi.org/10.1371/journal.pone.0221818
[34] Zamora, V., Capdevila, L., Lalanza, J. F., & Caparrós, T. (2021). Heart rate variability and accelerometry: Workload control management in Men’s basketball. Apunts. Educacion Fisica y Deportes, 143, 44–51.doi.org/10.5672/APUNTS.2014-0983.ES.(2021/1).143.06
ISSN: 2014-0983
Rebut: 18 de juliol de 2024
Acceptat: 25 de febrer de 2025
Publicat: 1 de juliol de 2025
Editat per: © Generalitat de Catalunya Departament de la Presidència Institut Nacional d’Educació Física de Catalunya (INEFC)
© Copyright Generalitat de Catalunya (INEFC). Aquest article està disponible a la url https://www.revista-apunts.com/. Aquest treball està publicat sota una llicència Internacional de Creative Commons Reconeixement 4.0. Les imatges o qualsevol altre material de tercers d’aquest article estan incloses a la llicència Creative Commons de l’article, tret que s’indiqui el contrari a la línia de crèdit; si el material no s’inclou sota la llicència Creative Commons, els usuaris hauran d’obtenir el permís del titular de la llicència per reproduir el material. Per veure una còpia d’aquesta llicència, visiteu https://creativecommons.org/licenses/by/4.0/deed.ca
